現今 DeFi 市場當中如何有效降低滑點,並減少無償損失,正是每個項目的當務之急。而 Solana 生態的 DeFi 多合一協議 Mercurial 就從穩定幣 AMM 資金池切入,提出了一種新的解決方案。其機制如何設計?又為何值得關注?
(前情提要:FTX宇宙 | 一文讀懂新 IEO “Mercurial Finance” ;,合成資產如何擴張 Serum 版圖?)
(背景補充:【幣圈科普教學】Solana / SBF 宇宙簡介與 RAY 挖礦 —— 物理學徒專欄)
隨著 Solana 生態上項目逐漸增加,借貸、DEX 以及衍生品等協議也開始豐富了起來。Mercurial 就是 Solana 生態上的項目之一,提供穩定資產兌換服務。
Mercurial 提供的服務跟目前以太坊生態中的 Curve 似乎差別不大。不過,作為後來者,它有更多的機會去學習之前 DeFi 協議的一些優點。這可以從它的設計中看出來,它在用戶最為關注的交易滑點、LP 收益、資產利用率等方面都做了一定的優化。
Mercurial 從穩定幣 AMM 資金池開始切入,為 Solana 生態提供 USDC、USDT、wUSDC、wUSDT 等穩定幣的兌換服務,隨著對用戶需求的把握和生態的發展,Solana 也計劃為更多穩定資產提供流動性服務。
那麼,Mercurial 為何值得關注?我們先從其整體框架入手。
理解 Mercurial 的框架
我們可以看看 Mercurial 的框架圖:

可以看到核心有幾個:Vault(資金庫)、Yield(種地或挖礦)、動態費用、DAO 治理。
Mercurial 有動態的做市資金庫,它的資金庫為穩定資產兌換提供自動做市,LP 可以將其穩定資產存入到 Mercurial 的資金庫中,然後為穩定資產兌換提供流動性,同時透過種地或挖礦等獲得外部協議的收益,如參與借貸、閃電貸以及收益聚合等。
此外,LP 的費用收益也不是固定的,而是動態變化的,這也是它與眾不同的一個設計。
具體分開來看,有幾個方向是理解 Mercurial 的關鍵:
Mercurial 在降低滑點上的設計
目前 AMM 上進行較大額度的兌換,往往會帶來較高的滑點,即便是穩定資產的兌換也會如此。
Mercurial 跟傳統的 X*Y=Z 的 AMM 做市模式不同,它的主要不同如下圖:

紅線是傳統 AMM 做市模式下的滑點變化,藍線則是 Mercurial 的做市模式下的滑點變化。這看上去滑點很低。它是怎麼設計的?
主要有兩個方面,一是在提供流動性代幣對資產時,Mercurial 並沒有要求提供流動性的代幣對一定為 1:1配置,可以靈活配置。二是,Mercurial 利用了放大化的價格曲線,將流動性集中到所需範圍內。如果用戶的交易超出交易率範圍,會獲得較少流動性的支持。
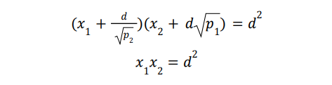
可以透過 Mercurial 提出的兩個公式來簡單說明:
有兩個代幣組成代幣對提供流動性,假設代幣為 X1,X2;其兌換率波動範圍為 p1,p2,在常數乘積做市模式下,其公式表達為:

Mercurial 在這個基礎上,增加了一些放大係數 a,並得出如下的公式:

在這個公式中,係數 a 如果是無限大,那麼其所有的流動性都集中在價格範圍 p1-p2;如果係數 a 無限接近於 0,那麼這個公式就相當於常數乘積的做市模式。
透過上述的設計,Mercurial 試圖降低用戶兌換的滑點。這些的設計思路,我們在 balancer 和 dodo 上也看到過類似的想法,不過 Mercurial 目前主要還是聚焦於穩定資產的兌換為主。
延伸閱讀:DeFi |新手必讀!去中心化金融「樂高」的 5 塊基石,分別想解決什麼問題?
Mercurial 在增加 LP 收益上的設計
在傳統的 AMM 中,LP 的費用收益一般來說是固定的。比如 Curve 一般是 0.04%;在 Uniswap V2 一般默認是 0.3%;在 Uniswap V3 則是設計了可供選擇的費用:0.05%、0.3% 以及 1%。
跟這些相對固定的費用設計不同,Mercurial 採用動態費用設計。在 Mercurial 中,所有的代幣對資金庫共享相同的動態費用機制。
採用動態費用機制的動機在於為 LP 提供更合理的收益,當兌換需求增加,其兌換手續費也會隨之增加。尤其是當市場波動性大時,透過更高的手續費,可以減少 LP 的無常損失,並獲得更高收益。如果市場波動小,用戶兌換需求較小,手續費也會下降,從而激勵用戶進行交易。
Mercurial 在確定其費用時,會使用長時間窗口和短時間窗口的交易量衡量,並採用 EMA(Exponential Moving Average 指數移動均線)計算,其費用基於交易量比率更新。下圖表示基於市場波動性變化的費用更新。

延伸閱讀:新手科普|Uniswap V3 是否能夠建立起護城河,顛覆現有 AMM 生態?
Mercurial 在提升資產收益方面的設計
除了在降低滑點和為 LP 代提供動態費用收益方面的設計之外,Mercurial 還有一個與眾不同的設計,那就是它會從資金庫的資產中進行動態分配管理,並將其配置到外部協議。而其分配算法是透過鏈上的算法管理。
除了資產的配置之外,Mercurial 的資產管理還包括利息和收益收集,退出特定平台以及清算所得收益等。

這些收益計劃只有得到 DAO 的批准之後,才能部署到外部的平台。 DAO 決定每個資金庫可以部署到外部協議的比例。外部收益平台包括閃電貸、借貸平台、帶槓槓的穩定幣借貸或其他收益資金庫等。平台會根據收益、風險以及流動性情況進行選擇。透過收益計劃,做市商的資產利用率得到提升。
延伸閱讀:科普|DAO「去中心化自治組織」生態簡析:組成元素為何、重要性何在?
MER 代幣機制
Mercurial 的代幣是 MER。 MER 代幣有機會獲得下列價值:
兌換的手續費用
MER 代幣持有人有機會獲得 Mercurail 平台上交易手續費。 MER 具體如何捕獲交易費用,是回購併銷毀 MER,還是分配 MER,則會透過 DAO 治理來決定。
種地收益佣金
MER 持有人有機會獲得「種地」或「挖礦」收益的佣金。根據 DAO 治理,可以透過購買並銷毀 MER 代幣的形式,也可以透過質押 MER 代幣獲得相應分配的形式。
合成資產的抵押品
在生成合成資產或其他穩定資產時,MER 會被用作為主要的質押代幣。如果合成資產的需求增加,那麼會產生對更多 MER 代幣的需求。這一點類似於 Synthetix 的 SNX 代幣的質押功能。
延伸閱讀:DeFi|年化一度高達700%,FAANG, TSLA等「Synthetix股票合成資產」已在 Kwenta 上線
治理價值
在 Mercurial 的 DAO 治理中,其主要工具是 MER 代幣。透過它可以參與 DAO 的治理。而 DAO 治理可以決定協議的一些重要參數和決議。
比如確定交易以及資金庫收益的基礎費用和佣金;費用是否用於銷毀或分配;可以將資金庫資產部署到哪些協議;資金庫用於種地或挖礦的比例;應該推出哪種新合成資產;LP和質押者獎勵機制;為保險池注入多少資金,以應對資產脫錨的風險等。
這意味著 MER 本身也有治理價值,如果 Mercurial 有機會成長起來,那麼其治理的重要性會顯現出來。
此外,Mercurial 的流動性提供者存入資產可以獲得 LP 代幣。 LP 代幣:
- 可以質押用於 MER 代幣的流動性挖礦;
- 可以在 Mercurial 資金庫中進行再投資;
- 可在其他借貸平台用於抵押品;
- 可用於合成資產的生成。
延伸閱讀:科普|DAO「去中心化自治組織」生態簡析:組成元素為何、重要性何在?
Mercurial 的冷啟動計劃
為實現冷啟動,Mercurial 試圖從如下幾個方面著手:
1. 用戶介面上,盡可能符合 CEX 和 EVM(以太坊用戶)用戶體驗的設計,以此減少使用摩擦;
2. 鼓勵 Kyber 社群的參與,Kyber 有超過 10 萬代幣用戶,透過 Kyber 社群,Mercurail 試圖完成初步用戶的積累。
延伸閱讀:全整理》Kyber 網路 3.0:架構改進、動態做市商和 KNC 代幣遷移提案
Mercurial 的切入點
綜合上述來看,Mercurial 本身更像是一個穩定資產管理協議。
它透過其穩定資金庫的構建,為交易者提供穩定資產兌換服務,為流動性提供者提供做市收益、種地或挖礦等資產管理收益。從這個角度,其核心在於對穩定資產的管理。
因此,Mercurial 能否取得成功,主要取決於其對穩定資產管理能否成功。而穩定資產管理能否成功主要取決於其穩定資產兌換、穩定資產種地或流動性挖礦收益等。
從這個角度來看,Mercurial 的另一個切入點是對 DEX 協議的升級,它聚焦於為穩定資產交易者提供更低的滑點,由此吸引交易用戶。而更大規模的交易用戶,會吸引更多的流動性提供者。流動性提供者是 Mercurial 資金庫的注入者,它們希望有更高的收益,這個收益可以來自於流動性提供,也可以來自於種地或挖礦等。
此外,除了協議本身機制的設計,Mercurial 還有一個特色:它不是從以太坊生態切入,也不是從波卡、BSC 或 HECO 等鏈切入,而是從 Solana 切入。這意味著,它早期會主要服務於 Solana 生態用戶,因此其早期能否成功,也跟 Solana 生態整體發展息息相關。
📍相關報導📍
SBF宇宙|5分鐘看懂Serum生態系各項DeFi協議,FTX將如何把他們組合起來?
資誠報告|加密對沖基金2020年AUM翻倍!增加對 DeFi 曝險 : LINK DOT AAVE 最受歡迎
波卡上首個AMM “Polkaswap” 今將上線!跨鏈DeFi解答?詳解Polkadot上DEX的優勢特色
讓動區 Telegram 新聞頻道再次強大!!立即加入獲得第一手區塊鏈、加密貨幣新聞報導。
LINE 與 Messenger 不定期為大家服務






